


Abstract:The optimization of cooperative beamforming vectors in cell-free massive MIMO (mMIMO) systems is presented where multi-antenna access points (APs) support downlink data transmission of multiple users. Albeit the successes of the weighted minimum mean squared error (WMMSE) algorithm and their variants, they lack careful investigations about computational complexity that scales with the number of antennas and APs. We propose a generalized and reduced WMMSE (G-R-WMMSE) approach whose complexity is significantly lower than conventional WMMSE. We partition the set of beamforming coefficients into subvectors, with each subvector corresponding to a specific AP. Such a partitioning approach decomposes the original WMMSE problem across individual APs. By leveraging the Lagrange duality analysis, a closed-form solution can be derived for each subproblem, which substantially reduces the computation burden. Additionally, we present a parallel execution of the proposed G-R-WMMSE with adaptive step sizes, aiming at further reducing the time complexity. Numerical results validate that the proposed G-R-WMMSE schemes achieve over 99% complexity savings compared to the conventional WMMSE scheme while maintaining almost the same performance.
Abstract:This paper studies learning-based decentralized power control methods for cell-free massive multiple-input multiple-output (MIMO) systems where a central processor (CP) controls access points (APs) through fronthaul coordination. To determine the transmission policy of distributed APs, it is essential to develop a network-wide collaborative optimization mechanism. To address this challenge, we design a cooperative learning (CL) framework which manages computation and coordination strategies of the CP and APs using dedicated deep neural network (DNN) modules. To build a versatile learning structure, the proposed CL is carefully designed such that its forward pass calculations are independent of the number of APs. To this end, we adopt a parameter reuse concept which installs an identical DNN module at all APs. Consequently, the proposed CL trained at a particular configuration can be readily applied to arbitrary AP populations. Numerical results validate the advantages of the proposed CL over conventional non-cooperative approaches.




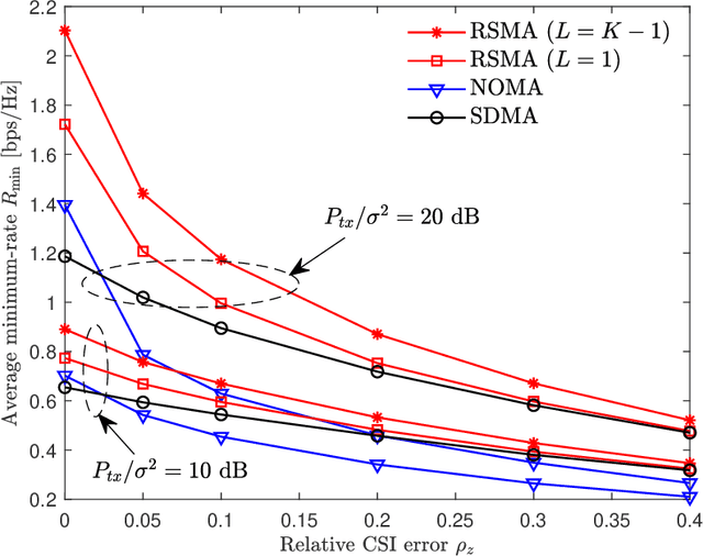
Abstract:Rate-Splitting Multiple Access (RSMA) for multi-user downlink operates by splitting the message for each user equipment (UE) into a private message and a set of common messages, which are simultaneously transmitted by means of superposition coding. The RSMA scheme can enhance throughput and connectivity as compared to conventional multiple access techniques by optimizing the rate-splitting ratios along with the corresponding downlink beamforming vectors. This work examines the impact of erroneous channel state information (CSI) on the performance of RSMA in cell-free multiple-input multiple-output (MIMO) systems. An efficient robust optimization algorithm is proposed by using closed-form lower bound expressions on the expected data rates. Extensive numerical results show the importance of robust design in the presence of CSI errors and how the performance gain of RSMA over conventional schemes is affected by CSI imperfection.



Abstract:Cooperative beamforming across access points (APs) and fronthaul quantization strategies are essential for cloud radio access network (C-RAN) systems. The nonconvexity of the C-RAN optimization problems, which is stemmed from per-AP power and fronthaul capacity constraints, requires high computational complexity for executing iterative algorithms. To resolve this issue, we investigate a deep learning approach where the optimization module is replaced with a well-trained deep neural network (DNN). An efficient learning solution is proposed which constructs a DNN to produce a low-dimensional representation of optimal beamforming and quantization strategies. Numerical results validate the advantages of the proposed learning solution.