Abstract:Individuals high in social anxiety symptoms often exhibit elevated state anxiety in social situations. Research has shown it is possible to detect state anxiety by leveraging digital biomarkers and machine learning techniques. However, most existing work trains models on an entire group of participants, failing to capture individual differences in their psychological and behavioral responses to social contexts. To address this concern, in Study 1, we collected linguistic data from N=35 high socially anxious participants in a variety of social contexts, finding that digital linguistic biomarkers significantly differ between evaluative vs. non-evaluative social contexts and between individuals having different trait psychological symptoms, suggesting the likely importance of personalized approaches to detect state anxiety. In Study 2, we used the same data and results from Study 1 to model a multilayer personalized machine learning pipeline to detect state anxiety that considers contextual and individual differences. This personalized model outperformed the baseline F1-score by 28.0%. Results suggest that state anxiety can be more accurately detected with personalized machine learning approaches, and that linguistic biomarkers hold promise for identifying periods of state anxiety in an unobtrusive way.




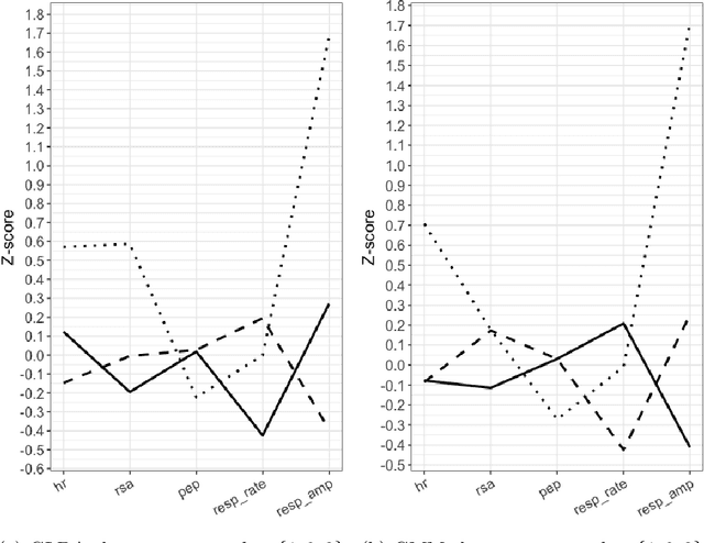
Abstract:In this article we propose and validate an unsupervised probabilistic model, Gaussian Latent Dirichlet Allocation (GLDA), for the problem of discrete state discovery from repeated, multivariate psychophysiological samples collected from multiple, inherently distinct, individuals. Psychology and medical research heavily involves measuring potentially related but individually inconclusive variables from a cohort of participants to derive diagnosis, necessitating clustering analysis. Traditional probabilistic clustering models such as Gaussian Mixture Model (GMM) assume a global mixture of component distributions, which may not be realistic for observations from different patients. The GLDA model borrows the individual-specific mixture structure from a popular topic model Latent Dirichlet Allocation (LDA) in Natural Language Processing and merges it with the Gaussian component distributions of GMM to suit continuous type data. We implemented GLDA using STAN (a probabilistic modeling language) and applied it on two datasets, one containing Ecological Momentary Assessments (EMA) and the other heart measures from electrocardiogram and impedance cardiograph. We found that in both datasets the GLDA-learned class weights achieved significantly higher correlations with clinically assessed depression, anxiety, and stress scores than those produced by the baseline GMM. Our findings demonstrate the advantage of GLDA over conventional finite mixture models for human state discovery from repeated multivariate data, likely due to better characterization of potential underlying between-participant differences. Future work is required to validate the utility of this model on a broader range of applications.




Abstract:In this paper we explore previously unidentified connections between relational event model (REM) from the field of network science and inverse reinforcement learning (IRL) from the field of machine learning with respect to their ability to characterize sequences of directed social interaction events in group settings. REM is a conventional approach to tackle such a problem whereas the application of IRL is a largely unbeaten path. We begin by examining the mathematical components of both REM and IRL and find straightforward analogies between the two methods as well as unique characteristics of the IRL approach. We demonstrate the special utility of IRL in characterizing group social interactions with an empirical experiment, in which we use IRL to infer individual behavioral preferences based on a sequence of directed communication events from a group of virtual-reality game players interacting and cooperating to accomplish a shared goal. Our comparison and experiment introduce fresh perspectives for social behavior analytics and help inspire new research opportunities at the nexus of social network analysis and machine learning.