



Abstract:Reliable methods for the classification and quantification of quantum entanglement are fundamental to understanding its exploitation in quantum technologies. One such method, known as Separable Neural Network Quantum States (SNNS), employs a neural network inspired parameterisation of quantum states whose entanglement properties are explicitly programmable. Combined with generative machine learning methods, this ansatz allows for the study of very specific forms of entanglement which can be used to infer/measure entanglement properties of target quantum states. In this work, we extend the use of SNNS to mixed, multipartite states, providing a versatile and efficient tool for the investigation of intricately entangled quantum systems. We illustrate the effectiveness of our method through a number of examples, such as the computation of novel tripartite entanglement measures, and the approximation of ultimate upper bounds for qudit channel capacities.



Abstract:The ability to precisely discriminate multiple quantum channels is fundamental to achieving quantum enhancements in data-readout, target detection, pattern recognition, and more. Optimal discrimination protocols often rely on entanglement shared between an incident probe and a protected idler-mode. While these protocols can be highly advantageous over classical ones, the storage of idler-modes is extremely challenging in practice. In this work, we explicitly define idler-free protocols based on the use of multipartite entangled probe states. We show that using non-disjoint distributions of multipartite probe states over multi-channels can be described by dynamic discrimination protocols. Analytical bounds for their error probabilities are derived for arbitrary pattern size, revealing idler-free protocols that display performance close to idler-assistance for powerful, near-term quantum sensing applications.




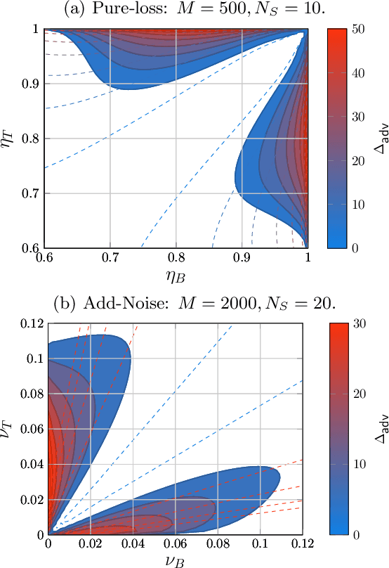
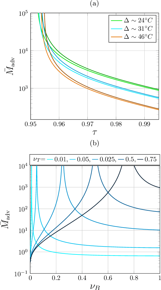
Abstract:Quantum Channel Discrimination (QCD) presents a fundamental task in quantum information theory, with critical applications in quantum reading, illumination, data-readout and more. The extension to multiple quantum channel discrimination has seen a recent focus to characterise potential quantum advantage associated with quantum enhanced discriminatory protocols. In this paper, we study thermal imaging as an environment localisation task, in which thermal images are modelled as ensembles of Gaussian phase insensitive channels with identical transmissivity, and pixels possess properties according to background (cold) or target (warm) thermal channels. Via the teleportation stretching of adaptive quantum protocols, we derive ultimate limits on the precision of pattern classification of abstract, binary thermal image spaces, and show that quantum enhanced strategies may be used to provide significant quantum advantage over known optimal classical strategies. The environmental conditions and necessary resources for which advantage may be obtained are studied and discussed. We then numerically investigate the use of quantum enhanced statistical classifiers, in which quantum sensors are used in conjunction with machine learning image classification methods. Proving definitive advantage in the low loss regime, this work motivates the use of quantum enhanced sources for short-range thermal imaging and detection techniques for future quantum technologies.