



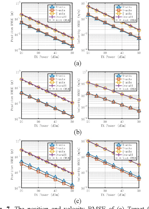
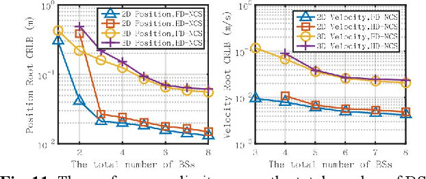
Abstract:As a promising 6G technology, integrated sensing and communication (ISAC) gains growing interest. ISAC provides integration gain via sharing spectrum, hardware, and software. However, concerns exist regarding its sensing performance when compared to dedicated radar systems. To address this issue, the advantages of widely deployed networks should be utilized, and this paper proposes networked collaborative sensing (NCS) using multi-domain measurements (MM), including range, Doppler, and two-dimension angle of arrival. In the NCS-MM architecture, this paper proposes a novel multi-domain decoupling model and a novel guard band-based protocol. The proposed model simplifies multi-domain derivations and algorithm designs, and the proposed protocol conserves resources and mitigates NCS interference. To determine the performance limits, this paper derives the Cram\'er-Rao lower bound (CRLB) of three-dimension position and velocity in NCS-MM. An accumulated single-dimension channel model is used to obtain the CRLB of MM, which is proven to be equivalent to that of the multi-dimension model. The algorithms of both MM estimation and fusion are proposed. An arbitrary-dimension Newtonized orthogonal matched pursuit (AD-NOMP) is proposed to accurately estimate grid-less MM. The degree-of-freedom (DoF) of MM is analyzed, and a novel DoF-based two-stage weighted least squares (TSWLS) is proposed to reduce equations without DoF loss. The numerical results show that the performances of the proposed algorithms are close to their performance limits.