Abstract:Remote education has proliferated in the twenty-first century, yielding rise to intelligent tutoring systems. In particular, research has found multi-armed bandit (MAB) intelligent tutors to have notable abilities in traversing the exploration-exploitation trade-off landscape for student problem recommendations. Prior literature, however, contains a significant lack of open-sourced MAB intelligent tutors, which impedes potential applications of these educational MAB recommendation systems. In this paper, we combine recent literature on MAB intelligent tutoring techniques into an open-sourced and simply deployable hierarchical MAB algorithm, capable of progressing students concurrently through concepts and problems, determining ideal recommended problem difficulties, and assessing latent memory decay. We evaluate our algorithm using simulated groups of 500 students, utilizing Bayesian Knowledge Tracing to estimate students' content mastery. Results suggest that our algorithm, when turned difficulty-agnostic, significantly boosts student success, and that the further addition of problem-difficulty adaptation notably improves this metric.




Abstract:Artificial intelligence (AI) stands out as a game-changer in today's technology landscape. However, the integration of AI education in classroom curricula currently lags behind, leaving teenagers inadequately prepared for an imminent AI-driven future. In this pilot study, we designed a three-day bootcamp offered in the summer of 2023 to a cohort of 60 high school students. The curriculum was delivered in person through animated video content, easy-to-follow slides, interactive playgrounds, and quizzes. These were packaged in the early version of an online learning platform we are developing. Results from the post-bootcamp survey conveyed a 91.4% overall satisfaction. Despite the short bootcamp duration, 88.5% and 71.4% of teenagers responded that they had an improved understanding of AI concepts and programming, respectively. Overall, we found that employing diverse modalities effectively engaged students, and building foundational modules proved beneficial for introducing more complex topics. Furthermore, using Google Colab notebooks for coding assignments proved challenging to most students. Students' activity on the platform and their answers to quizzes showed proficient engagement and a grasp of the material. Our results strongly highlight the need for compelling and accessible AI education methods for the next generation and the potential for informal learning to fill the gap of providing early AI education to teenagers.



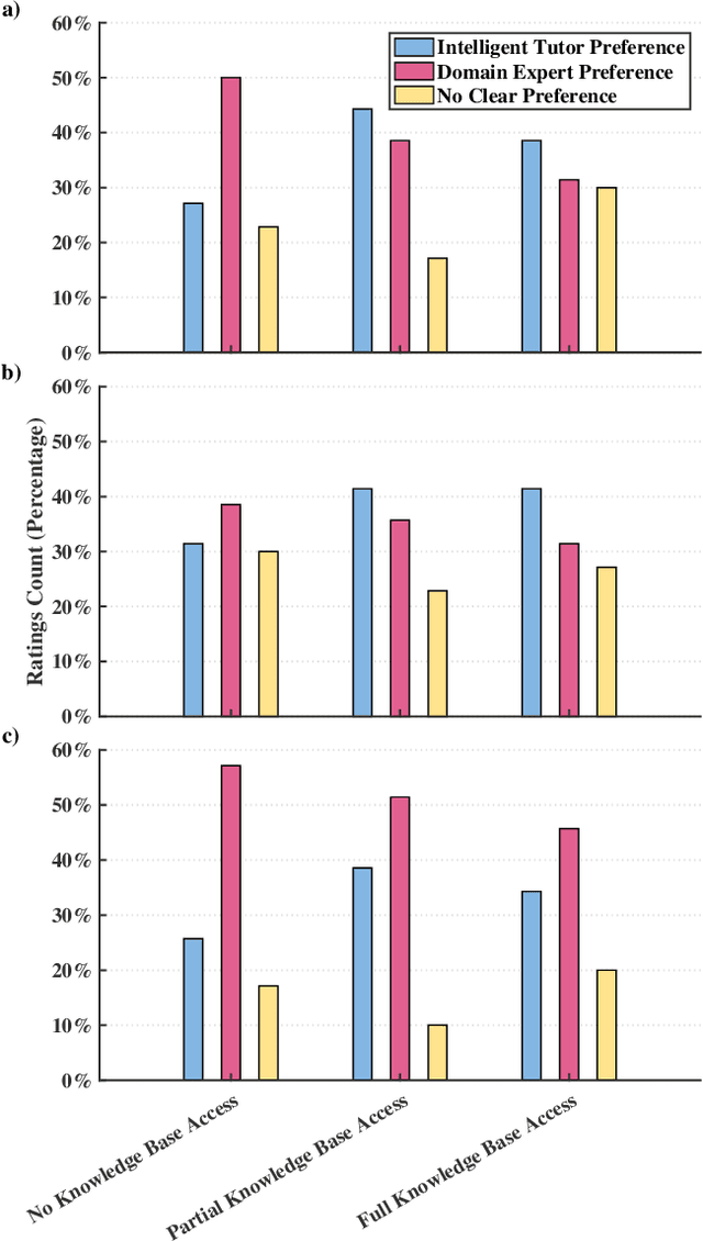
Abstract:Recent advancements in large language models (LLMs) have facilitated the development of chatbots with sophisticated conversational capabilities. However, LLMs exhibit frequent inaccurate responses to queries, hindering applications in educational settings. In this paper, we investigate the effectiveness of integrating a knowledge base (KB) with LLM intelligent tutors to increase response reliability. To achieve this, we design a scaleable KB that affords educational supervisors seamless integration of lesson curricula, which is automatically processed by the intelligent tutoring system. We then detail an evaluation, where student participants were presented with questions about the artificial intelligence curriculum to respond to. GPT-4 intelligent tutors with varying hierarchies of KB access and human domain experts then assessed these responses. Lastly, students cross-examined the intelligent tutors' responses to the domain experts' and ranked their various pedagogical abilities. Results suggest that, although these intelligent tutors still demonstrate a lower accuracy compared to domain experts, the accuracy of the intelligent tutors increases when access to a KB is granted. We also observe that the intelligent tutors with KB access exhibit better pedagogical abilities to speak like a teacher and understand students than those of domain experts, while their ability to help students remains lagging behind domain experts.