



Abstract:This paper investigates the application of voice activity projection (VAP), a predictive turn-taking model for spoken dialogue, on multilingual data, encompassing English, Mandarin, and Japanese. The VAP model continuously predicts the upcoming voice activities of participants in dyadic dialogue, leveraging a cross-attention Transformer to capture the dynamic interplay between participants. The results show that a monolingual VAP model trained on one language does not make good predictions when applied to other languages. However, a multilingual model, trained on all three languages, demonstrates predictive performance on par with monolingual models across all languages. Further analyses show that the multilingual model has learned to discern the language of the input signal. We also analyze the sensitivity to pitch, a prosodic cue that is thought to be important for turn-taking. Finally, we compare two different audio encoders, contrastive predictive coding (CPC) pre-trained on English, with a recent model based on multilingual wav2vec 2.0 (MMS).
Abstract:A demonstration of a real-time and continuous turn-taking prediction system is presented. The system is based on a voice activity projection (VAP) model, which directly maps dialogue stereo audio to future voice activities. The VAP model includes contrastive predictive coding (CPC) and self-attention transformers, followed by a cross-attention transformer. We examine the effect of the input context audio length and demonstrate that the proposed system can operate in real-time with CPU settings, with minimal performance degradation.




Abstract:Previous approaches to turn-taking and response generation in conversational systems have treated it as a two-stage process: First, the end of a turn is detected (based on conversation history), then the system generates an appropriate response. Humans, however, do not take the turn just because it is likely, but also consider whether what they want to say fits the position. In this paper, we present a model (an extension of TurnGPT) that conditions the end-of-turn prediction on both conversation history and what the next speaker wants to say. We found that our model consistently outperforms the baseline model in a variety of metrics. The improvement is most prominent in two scenarios where turn predictions can be ambiguous solely from the conversation history: 1) when the current utterance contains a statement followed by a question; 2) when the end of the current utterance semantically matches the response. Treating the turn-prediction and response-ranking as a one-stage process, our findings suggest that our model can be used as an incremental response ranker, which can be applied in various settings.




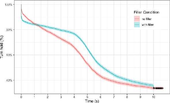
Abstract:Filled pauses (or fillers), such as "uh" and "um", are frequent in spontaneous speech and can serve as a turn-holding cue for the listener, indicating that the current speaker is not done yet. In this paper, we use the recently proposed Voice Activity Projection (VAP) model, which is a deep learning model trained to predict the dynamics of conversation, to analyse the effects of filled pauses on the expected turn-hold probability. The results show that, while filled pauses do indeed have a turn-holding effect, it is perhaps not as strong as could be expected, probably due to the redundancy of other cues. We also find that the prosodic properties and position of the filler has a significant effect on the turn-hold probability. However, contrary to what has been suggested in previous work, there is no difference between "uh" and "um" in this regard.