



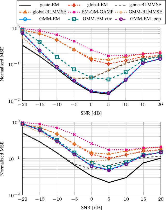
Abstract:Channel estimation in quantized systems is challenging, particularly in low-resolution systems. In this work, we propose to leverage a Gaussian mixture model (GMM) as generative prior, capturing the channel distribution of the propagation environment, to enhance a classical estimation technique based on the expectation-maximization (EM) algorithm for one-bit quantization. Thereby, a maximum a posteriori (MAP) estimate of the most responsible mixture component is inferred for a quantized received signal, which is subsequently utilized in the EM algorithm as side information. Numerical results demonstrate the significant performance improvement of our proposed approach over both a simplistic Gaussian prior and current state-of-the-art channel estimators. Furthermore, the proposed estimation framework exhibits adaptability to higher resolution systems and alternative generative priors.