MD
Abstract:The objective of this paper is to significantly reduce the manual workload required from medical professionals in complex 3D segmentation tasks that cannot be yet fully automated. For instance, in radiotherapy planning, organs at risk must be accurately identified in computed tomography (CT) or magnetic resonance imaging (MRI) scans to ensure they are spared from harmful radiation. Similarly, diagnosing age-related degenerative diseases such as sarcopenia, which involve progressive muscle volume loss and strength, is commonly based on muscular mass measurements often obtained from manual segmentation of medical volumes. To alleviate the manual-segmentation burden, this paper introduces an implicit shape prior to segment volumes from sparse slice manual annotations generalized to the multi-organ case, along with a simple framework for automatically selecting the most informative slices to guide and minimize the next interactions. The experimental validation shows the method's effectiveness on two medical use cases: assisted segmentation in the context of at risks organs for brain cancer patients, and acceleration of the creation of a new database with unseen muscle shapes for patients with sarcopenia.




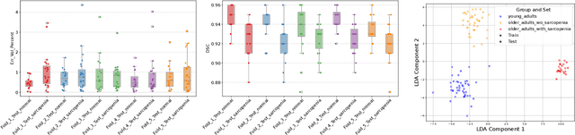
Abstract:Sarcopenia is an age-related progressive loss of muscle mass and strength that significantly impacts daily life. A commonly studied criterion for characterizing the muscle mass has been the combination of 3D imaging and manual segmentations. In this paper, we instead study the muscles' shape. We rely on an implicit neural representation (INR) to model normal muscle shapes. We then introduce an unsupervised anomaly detection method to identify sarcopenic muscles based on the reconstruction error of the implicit model. Relying on a conditional INR with an auto-decoding strategy, we also learn a latent representation of the muscles that clearly separates normal from abnormal muscles in an unsupervised fashion. Experimental results on a dataset of 103 segmented volumes indicate that our double anomaly detection strategy effectively discriminates sarcopenic and non-sarcopenic muscles.