



Abstract:Speech technology systems struggle with many downstream tasks for child speech due to small training corpora and the difficulties that child speech pose. We apply a novel dataset, SpeechMaturity, to state-of-the-art transformer models to address a fundamental classification task: identifying child vocalizations. Unlike previous corpora, our dataset captures maximally ecologically-valid child vocalizations across an unprecedented sample, comprising children acquiring 25+ languages in the U.S., Bolivia, Vanuatu, Papua New Guinea, Solomon Islands, and France. The dataset contains 242,004 labeled vocalizations, magnitudes larger than previous work. Models were trained to distinguish between cry, laughter, mature (consonant+vowel), and immature speech (just consonant or vowel). Models trained on the dataset outperform state-of-the-art models trained on previous datasets, achieved classification accuracy comparable to humans, and were robust across rural and urban settings.




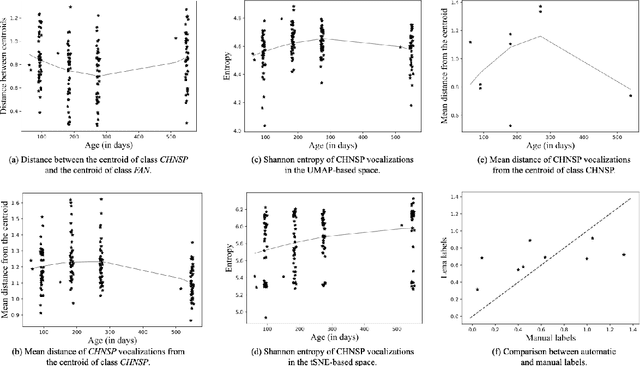
Abstract:During the first years of life, infant vocalizations change considerably, as infants develop the vocalization skills that enable them to produce speech sounds. Characterizations based on specific acoustic features, protophone categories, or phonetic transcription are able to provide a representation of the sounds infants make at different ages and in different contexts but do not fully describe how sounds are perceived by listeners, can be inefficient to obtain at large scales, and are difficult to visualize in two dimensions without additional statistical processing. Machine-learning-based approaches provide the opportunity to complement these characterizations with purely data-driven representations of infant sounds. Here, we use spectral features extraction and unsupervised machine learning, specifically Uniform Manifold Approximation (UMAP), to obtain a novel 2-dimensional spatial representation of infant and caregiver vocalizations extracted from day-long home recordings. UMAP yields a continuous and well-distributed space conducive to certain analyses of infant vocal development. For instance, we found that the dispersion of infant vocalization acoustics within the 2-D space over a day increased from 3 to 9 months, and then decreased from 9 to 18 months. The method also permits analysis of similarity between infant and adult vocalizations, which also shows changes with infant age.