



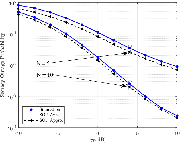
Abstract:Since Internet of Things (IoT) is suggested as the fundamental platform to adapt massive connections and secure transmission, we study physical-layer authentication in the point-to-point wireless systems relying on reconfigurable intelligent surfaces (RIS) technique. Due to lack of direct link from IoT devices (both legal and illegal devices) to the access point, we benefit from RIS by considering two main secure performance metrics. As main goal, we examine the secrecy performance of a RIS-aided wireless communication systems which show secure performance in the presence of an eavesdropping IoT devices. In this circumstance, RIS is placed between the access point and the legitimate devices and is designed to enhance the link security. To specify secure system performance metrics, we firstly present analytical results for the secrecy outage probability. Then, secrecy rate is further examined. Interestingly, we are to control both the average signal-to-noise ratio at the source and the number of metasurface elements of the RIS to achieve improved system performance. We verify derived expressions by matching Monte-Carlo simulation and analytical results.