



Abstract:Machine learning development critically depends on access to high-quality data. However, increasing restrictions due to privacy, proprietary interests, and ethical concerns have created significant barriers to data accessibility. Synthetic data offers a viable solution by enabling safe, broad data usage without compromising sensitive information. This paper presents the MOSTLY AI Synthetic Data Software Development Kit (SDK), an open-source toolkit designed specifically for synthesizing high-quality tabular data. The SDK integrates robust features such as differential privacy guarantees, fairness-aware data generation, and automated quality assurance into a flexible and accessible Python interface. Leveraging the TabularARGN autoregressive framework, the SDK supports diverse data types and complex multi-table and sequential datasets, delivering competitive performance with notable improvements in speed and usability. Currently deployed both as a cloud service and locally installable software, the SDK has seen rapid adoption, highlighting its practicality in addressing real-world data bottlenecks and promoting widespread data democratization.
Abstract:Large language models (LLMs) have shown promise in synthetic tabular data generation, yet existing methods struggle to preserve complex feature dependencies, particularly among categorical variables. This work introduces a probability-driven prompting approach that leverages LLMs to estimate conditional distributions, enabling more accurate and scalable data synthesis. The results highlight the potential of prompting probobility distributions to enhance the statistical fidelity of LLM-generated tabular data.




Abstract:Evaluating the quality of synthetic data remains a key challenge for ensuring privacy and utility in data-driven research. In this work, we present an evaluation framework that quantifies how well synthetic data replicates original distributional properties while ensuring privacy. The proposed approach employs a holdout-based benchmarking strategy that facilitates quantitative assessment through low- and high-dimensional distribution comparisons, embedding-based similarity measures, and nearest-neighbor distance metrics. The framework supports various data types and structures, including sequential and contextual information, and enables interpretable quality diagnostics through a set of standardized metrics. These contributions aim to support reproducibility and methodological consistency in benchmarking of synthetic data generation techniques. The code of the framework is available at https://github.com/mostly-ai/mostlyai-qa.




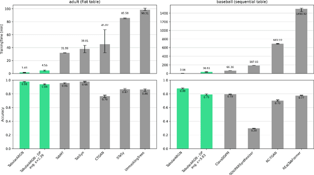
Abstract:Synthetic data generation for tabular datasets must balance fidelity, efficiency, and versatility to meet the demands of real-world applications. We introduce the Tabular Auto-Regressive Generative Network (TabularARGN), a flexible framework designed to handle mixed-type, multivariate, and sequential datasets. By training on all possible conditional probabilities, TabularARGN supports advanced features such as fairness-aware generation, imputation, and conditional generation on any subset of columns. The framework achieves state-of-the-art synthetic data quality while significantly reducing training and inference times, making it ideal for large-scale datasets with diverse structures. Evaluated across established benchmarks, including realistic datasets with complex relationships, TabularARGN demonstrates its capability to synthesize high-quality data efficiently. By unifying flexibility and performance, this framework paves the way for practical synthetic data generation across industries.