FHCRC



Abstract:We study a generalization of the multi-armed bandit problem with multiple plays where there is a cost associated with pulling each arm and the agent has a budget at each time that dictates how much she can expect to spend. We derive an asymptotic regret lower bound for any uniformly efficient algorithm in our setting. We then study a variant of Thompson sampling for Bernoulli rewards and a variant of KL-UCB for both single-parameter exponential families and bounded, finitely supported rewards. We show these algorithms are asymptotically optimal, both in rate and leading problem-dependent constants, including in the thick margin setting where multiple arms fall on the decision boundary.




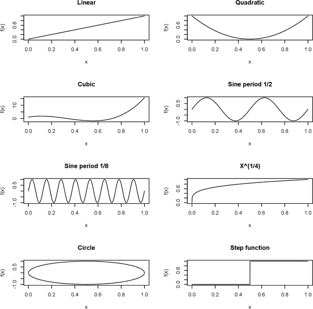
Abstract:Reshef & Reshef recently published a paper in which they present a method called the Maximal Information Coefficient (MIC) that can detect all forms of statistical dependence between pairs of variables as sample size goes to infinity. While this method has been praised by some, it has also been criticized for its lack of power in finite samples. We seek to modify MIC so that it has higher power in detecting associations for limited sample sizes. Here we present the Generalized Mean Information Coefficient (GMIC), a generalization of MIC which incorporates a tuning parameter that can be used to modify the complexity of the association favored by the measure. We define GMIC and prove it maintains several key asymptotic properties of MIC. Its increased power over MIC is demonstrated using a simulation of eight different functional relationships at sixty different noise levels. The results are compared to the Pearson correlation, distance correlation, and MIC. Simulation results suggest that while generally GMIC has slightly lower power than the distance correlation measure, it achieves higher power than MIC for many forms of underlying association. For some functional relationships, GMIC surpasses all other statistics calculated. Preliminary results suggest choosing a moderate value of the tuning parameter for GMIC will yield a test that is robust across underlying relationships. GMIC is a promising new method that mitigates the power issues suffered by MIC, at the possible expense of equitability. Nonetheless, distance correlation was in our simulations more powerful for many forms of underlying relationships. At a minimum, this work motivates further consideration of maximal information-based nonparametric exploration (MINE) methods as statistical tests of independence.