

Abstract:We critically review the smooth inverse frequency sentence embedding method of Arora, Liang, and Ma (2017), and show inconsistencies in its setup, derivation, and evaluation.




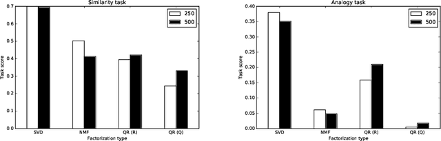
Abstract:We perform an empirical evaluation of several methods of low-rank approximation in the problem of obtaining PMI-based word embeddings. All word vectors were trained on parts of a large corpus extracted from English Wikipedia (enwik9) which was divided into two equal-sized datasets, from which PMI matrices were obtained. A repeated measures design was used in assigning a method of low-rank approximation (SVD, NMF, QR) and dimensionality of the vectors (250, 500) to each of the PMI matrix replicates. Our experiments show that word vectors obtained from the truncated SVD achieve the best performance on two downstream tasks, similarity and analogy, compare to the other two low-rank approximation methods.