



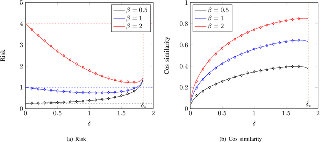
Abstract:In this paper, we study the hard and soft support vector regression techniques applied to a set of $n$ linear measurements of the form $y_i=\boldsymbol{\beta}_\star^{T}{\bf x}_i +n_i$ where $\boldsymbol{\beta}_\star$ is an unknown vector, $\left\{{\bf x}_i\right\}_{i=1}^n$ are the feature vectors and $\left\{{n}_i\right\}_{i=1}^n$ model the noise. Particularly, under some plausible assumptions on the statistical distribution of the data, we characterize the feasibility condition for the hard support vector regression in the regime of high dimensions and, when feasible, derive an asymptotic approximation for its risk. Similarly, we study the test risk for the soft support vector regression as a function of its parameters. Our results are then used to optimally tune the parameters intervening in the design of hard and soft support vector regression algorithms. Based on our analysis, we illustrate that adding more samples may be harmful to the test performance of support vector regression, while it is always beneficial when the parameters are optimally selected. Such a result reminds a similar phenomenon observed in modern learning architectures according to which optimally tuned architectures present a decreasing test performance curve with respect to the number of samples.