



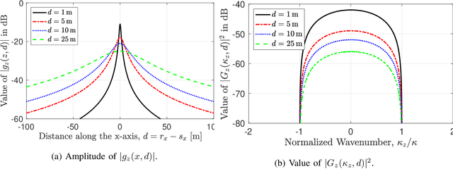
The ultimate performance of any wireless communication system is limited by electromagnetic principles and mechanisms. Motivated by this, we start from the first principles of wave propagation and consider a multiple-input multiple-output (MIMO) representation of a communication system between two spatially-continuous volumes of arbitrary shape and position. This is the concept of holographic MIMO communications. The analysis takes into account the electromagnetic noise field, generated by external sources, and the constraint on the physical radiated power. The electromagnetic MIMO model is particularized for a system with parallel linear sources and receivers in line-of-sight conditions. Inspired by orthogonal-frequency division-multiplexing, we assume that the spatially-continuous transmit currents and received fields are represented using the Fourier basis functions. In doing so, a wavenumber-division multiplexing (WDM) scheme is obtained whose properties are studied with the conventional tools of linear systems theory. Particularly, the interplay among the different system parameters (e.g., transmission range, wavelength, and sizes of source and receiver) in terms of number of communication modes and level of interference is studied. Due to the non-finite support of the electromagnetic channel, we prove that the interference-free condition can only be achieved when the receiver size grows to infinity. The spectral efficiency of WDM is evaluated via the singular-value decomposition architecture with water-filling and compared to that of a simplified architecture, which uses linear processing at the receiver and suboptimal power allocation.