



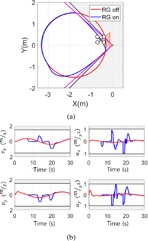
For safe vision-based control applications, perception-related constraints have to be satisfied in addition to other state constraints. In this paper, we deal with the problem where a multirotor equipped with a camera needs to maintain the visibility of a point of interest while tracking a reference given by a high-level planner. We devise a method based on reference governor that, differently from existing solutions, is able to enforce control-level visibility constraints with theoretically assured feasibility. To this end, we design a new type of reference governor for linear systems with polynomial constraints which is capable of handling time-varying references. The proposed solution is implemented online for the real-time multirotor control with visibility constraints and validated with simulations and an actual hardware experiment.