

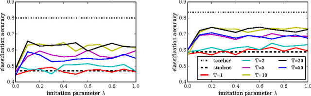
Distillation (Hinton et al., 2015) and privileged information (Vapnik & Izmailov, 2015) are two techniques that enable machines to learn from other machines. This paper unifies these two techniques into generalized distillation, a framework to learn from multiple machines and data representations. We provide theoretical and causal insight about the inner workings of generalized distillation, extend it to unsupervised, semisupervised and multitask learning scenarios, and illustrate its efficacy on a variety of numerical simulations on both synthetic and real-world data.