



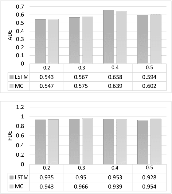
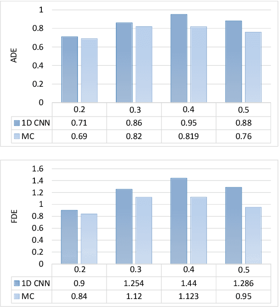
Past research on pedestrian trajectory forecasting mainly focused on deterministic predictions which provide only point estimates of future states. These future estimates can help an autonomous vehicle plan its trajectory and avoid collision. However, under dynamic traffic scenarios, planning based on deterministic predictions is not trustworthy. Rather, estimating the uncertainty associated with the predicted states with a certain level of confidence can lead to robust path planning. Hence, the authors propose to quantify this uncertainty during forecasting using stochastic approximation which deterministic approaches fail to capture. The current method is simple and applies Bayesian approximation during inference to standard neural network architectures for estimating uncertainty. The authors compared the predictions between the probabilistic neural network (NN) models with the standard deterministic models. The results indicate that the mean predicted path of probabilistic models was closer to the ground truth when compared with the deterministic prediction. Further, the effect of stochastic dropout of weights and long-term prediction on future state uncertainty has been studied. It was found that the probabilistic models produced better performance metrics like average displacement error (ADE) and final displacement error (FDE). Finally, the study has been extended to multiple datasets providing a comprehensive comparison for each model.