



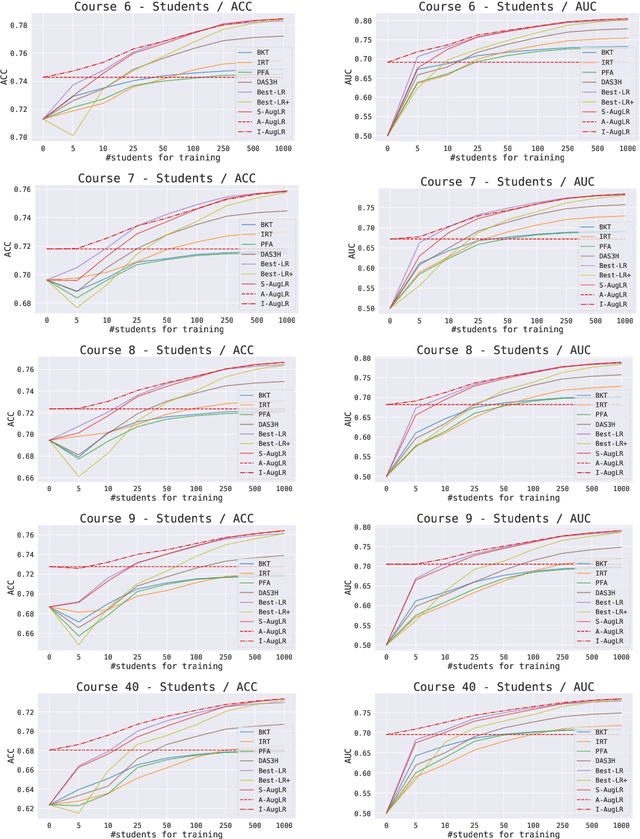
Millions of learners worldwide are now using intelligent tutoring systems (ITSs). At their core, ITSs rely on machine learning algorithms to track each user's changing performance level over time to provide personalized instruction. Crucially, student performance models are trained using interaction sequence data of previous learners to analyse data generated by future learners. This induces a cold-start problem when a new course is introduced for which no training data is available. Here, we consider transfer learning techniques as a way to provide accurate performance predictions for new courses by leveraging log data from existing courses. We study two settings: (i) In the naive transfer setting, we propose course-agnostic performance models that can be applied to any course. (ii) In the inductive transfer setting, we tune pre-trained course-agnostic performance models to new courses using small-scale target course data (e.g., collected during a pilot study). We evaluate the proposed techniques using student interaction sequence data from 5 different mathematics courses containing data from over 47,000 students in a real world large-scale ITS. The course-agnostic models that use additional features provided by human domain experts (e.g, difficulty ratings for questions in the new course) but no student interaction training data for the new course, achieve prediction accuracy on par with standard BKT and PFA models that use training data from thousands of students in the new course. In the inductive setting our transfer learning approach yields more accurate predictions than conventional performance models when only limited student interaction training data (<100 students) is available to both.