


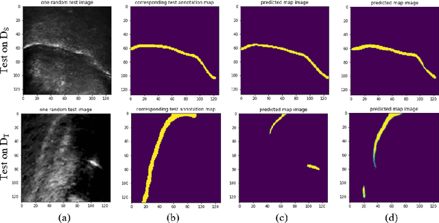
Medical ultrasound technology is widely used in routine clinical applications such as disease diagnosis and treatment as well as other applications like real-time monitoring of human tongue shapes and motions as visual feedback in second language training. Due to the low-contrast characteristic and noisy nature of ultrasound images, it might require expertise for non-expert users to recognize tongue gestures. Manual tongue segmentation is a cumbersome, subjective, and error-prone task. Furthermore, it is not a feasible solution for real-time applications. In the last few years, deep learning methods have been used for delineating and tracking tongue dorsum. Deep convolutional neural networks (DCNNs), which have shown to be successful in medical image analysis tasks, are typically weak for the same task on different domains. In many cases, DCNNs trained on data acquired with one ultrasound device, do not perform well on data of varying ultrasound device or acquisition protocol. Domain adaptation is an alternative solution for this difficulty by transferring the weights from the model trained on a large annotated legacy dataset to a new model for adapting on another different dataset using fine-tuning. In this study, after conducting extensive experiments, we addressed the problem of domain adaptation on small ultrasound datasets for tongue contour extraction. We trained a U-net network comprises of an encoder-decoder path from scratch, and then with several surrogate scenarios, some parts of the trained network were fine-tuned on another dataset as the domain-adapted networks. We repeat scenarios from target to source domains to find a balance point for knowledge transfer from source to target and vice versa. The performance of new fine-tuned networks was evaluated on the same task with images from different domains.