



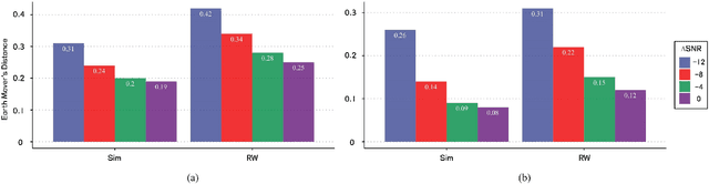
With the help of micro-Doppler signature, ultra-wideband (UWB) through-the-wall radar (TWR) enables the reconstruction of range and velocity information of limb nodes to accurately identify indoor human activities. However, existing methods are usually trained and validated directly using range-time maps (RTM) and Doppler-time maps (DTM), which have high feature redundancy and poor generalization ability. In order to solve this problem, this paper proposes a human activity micro-Doppler signature representation method based on joint Boulic-sinusoidal pendulum motion model. In detail, this paper presents a simplified joint Boulic-sinusoidal pendulum human motion model by taking head, torso, both hands and feet into consideration improved from Boulic-Thalmann kinematic model. The paper also calculates the minimum number of key points needed to describe the Doppler and micro-Doppler information sufficiently. Both numerical simulations and experiments are conducted to verify the effectiveness. The results demonstrate that the proposed number of key points of micro-Doppler signature can precisely represent the indoor human limb node motion characteristics, and substantially improve the generalization capability of the existing methods for different testers.