



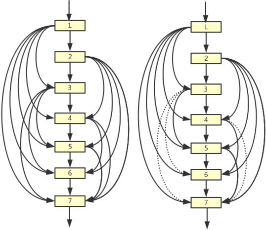
Deep neural networks have made significant progress in the field of computer vision. Recent studies have shown that depth, width and shortcut connections of neural network architectures play a crucial role in their performance. One of the most advanced neural network architectures, DenseNet, has achieved excellent convergence rates through dense connections. However, it still has obvious shortcomings in the usage of amount of memory. In this paper, we introduce a new type of pruning tool, threshold, which refers to the principle of the threshold voltage in MOSFET. This work employs this method to connect blocks of different depths in different ways to reduce the usage of memory. It is denoted as ThresholdNet. We evaluate ThresholdNet and other different networks on datasets of CIFAR10. Experiments show that HarDNet is twice as fast as DenseNet, and on this basis, ThresholdNet is 10% faster and 10% lower error rate than HarDNet.