


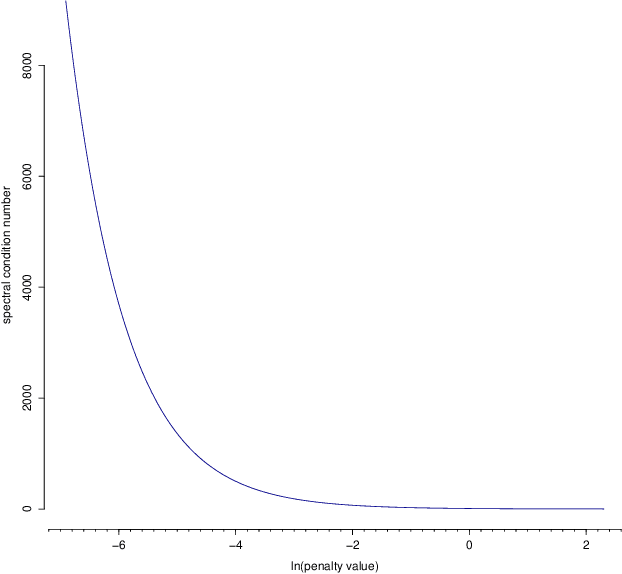
Many modern statistical applications ask for the estimation of a covariance (or precision) matrix in settings where the number of variables is larger than the number of observations. There exists a broad class of ridge-type estimators that employs regularization to cope with the subsequent singularity of the sample covariance matrix. These estimators depend on a penalty parameter and choosing its value can be hard, in terms of being computationally unfeasible or tenable only for a restricted set of ridge-type estimators. Here we introduce a simple graphical tool, the spectral condition number plot, for informed heuristic penalty parameter selection. The proposed tool is computationally friendly and can be employed for the full class of ridge-type covariance (precision) estimators.