



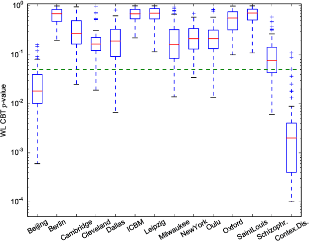
In clinical and neuroscientific studies, systematic differences between two populations of brain networks are investigated in order to characterize mental diseases or processes. Those networks are usually represented as graphs built from neuroimaging data and studied by means of graph analysis methods. The typical machine learning approach to study these brain graphs creates a classifier and tests its ability to discriminate the two populations. In contrast to this approach, in this work we propose to directly test whether two populations of graphs are different or not, by using the kernel two-sample test (KTST), without creating the intermediate classifier. We claim that, in general, the two approaches provides similar results and that the KTST requires much less computation. Additionally, in the regime of low sample size, we claim that the KTST has lower frequency of Type II error than the classification approach. Besides providing algorithmic considerations to support these claims, we show strong evidence through experiments and one simulation.