


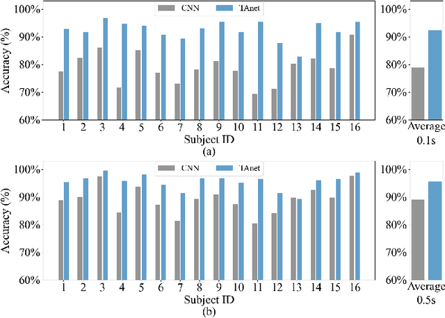
Auditory spatial attention detection (ASAD) is used to determine the direction of a listener's attention to a speaker by analyzing her/his electroencephalographic (EEG) signals. This study aimed to further improve the performance of ASAD with a short decision window (i.e., <1 s) rather than with long decision windows in previous studies. An end-to-end temporal attention network (i.e., TAnet) was introduced in this work. TAnet employs a multi-head attention (MHA) mechanism, which can more effectively capture the interactions among time steps in collected EEG signals and efficiently assign corresponding weights to those EEG time steps. Experiments demonstrated that, compared with the CNN-based method and recent ASAD methods, TAnet provided improved decoding performance in the KUL dataset, with decoding accuracies of 92.4% (decision window 0.1 s), 94.9% (0.25 s), 95.1% (0.3 s), 95.4% (0.4 s), and 95.5% (0.5 s) with short decision windows (i.e., <1 s). As a new ASAD model with a short decision window, TAnet can potentially facilitate the design of EEG-controlled intelligent hearing aids and sound recognition systems.