



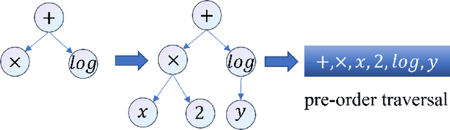
Symbolic Regression (SR) is a type of regression analysis to automatically find the mathematical expression that best fits the data. Currently, SR still basically relies on various searching strategies so that a sample-specific model is required to be optimized for every expression, which significantly limits the model's generalization and efficiency. Inspired by the fact that human beings can infer a mathematical expression based on the curve of it, we propose Symbolic Expression Transformer (SET), a sample-agnostic model from the perspective of computer vision for SR. Specifically, the collected data is represented as images and an image caption model is employed for translating images to symbolic expressions. A large-scale dataset without overlap between training and testing sets in the image domain is released. Our results demonstrate the effectiveness of SET and suggest the promising direction of image-based model for solving the challenging SR problem.