



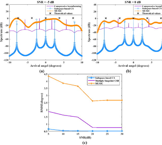
Compressive sensing (CS) has been applied to estimate the direction of arrival (DOA) in underwater acoustics. However, the key problem needed to be resolved in a {multipath} propagation environment is to suppress the interferences between the raypaths. Thus, in this paper, {a subspace-based compressive sensing algorithm that formulates the statistic information of the signal subspace in a CS framework is proposed.} The experiment results show that (1) the proposed algorithm enables the separation of raypaths that arrive closely at the {receiver} array and (2) the existing algorithms fail, especially in a low signal-to-noise ratio (SNR) environment.