



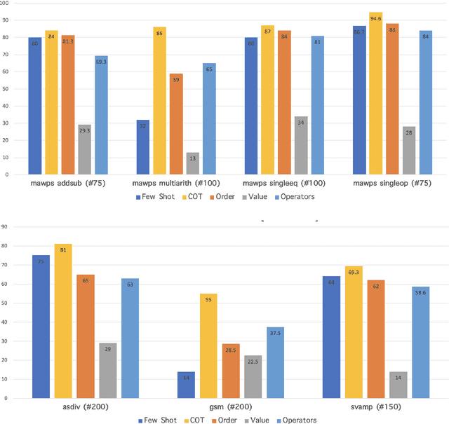
This report examines the effectiveness of Chain-of-Thought (CoT) prompting in improving the multi-step reasoning abilities of large language models (LLMs). Inspired by previous studies \cite{Min2022RethinkingWork}, we analyze the impact of three types of CoT prompt perturbations, namely CoT order, CoT values, and CoT operators on the performance of GPT-3 on various tasks. Our findings show that incorrect CoT prompting leads to poor performance on accuracy metrics. Correct values in the CoT is crucial for predicting correct answers. Moreover, incorrect demonstrations, where the CoT operators or the CoT order are wrong, do not affect the performance as drastically when compared to the value based perturbations. This research deepens our understanding of CoT prompting and opens some new questions regarding the capability of LLMs to learn reasoning in context.