



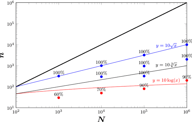
We introduce a stochastic version of the cutting-plane method for a large class of data-driven Mixed-Integer Nonlinear Optimization (MINLO) problems. We show that under very weak assumptions the stochastic algorithm is able to converge to an $\epsilon$-optimal solution with high probability. Numerical experiments on several problems show that stochastic cutting planes is able to deliver a multiple order-of-magnitude speedup compared to the standard cutting-plane method. We further experimentally explore the lower limits of sampling for stochastic cutting planes and show that for many problems, a sampling size of $O(\sqrt[3]{n})$ appears to be sufficient for high quality solutions.