



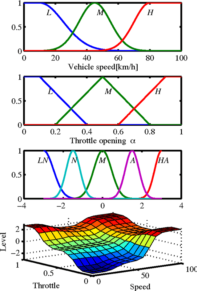
Driving styles have a great influence on vehicle fuel economy, active safety, and drivability. To recognize driving styles of path-tracking behaviors for different divers, a statistical pattern-recognition method is developed to deal with the uncertainty of driving styles or characteristics based on probability density estimation. First, to describe driver path-tracking styles, vehicle speed and throttle opening are selected as the discriminative parameters, and a conditional kernel density function of vehicle speed and throttle opening is built, respectively, to describe the uncertainty and probability of two representative driving styles, e.g., aggressive and normal. Meanwhile, a posterior probability of each element in feature vector is obtained using full Bayesian theory. Second, a Euclidean distance method is involved to decide to which class the driver should be subject instead of calculating the complex covariance between every two elements of feature vectors. By comparing the Euclidean distance between every elements in feature vector, driving styles are classified into seven levels ranging from low normal to high aggressive. Subsequently, to show benefits of the proposed pattern-recognition method, a cross-validated method is used, compared with a fuzzy logic-based pattern-recognition method. The experiment results show that the proposed statistical pattern-recognition method for driving styles based on kernel density estimation is more efficient and stable than the fuzzy logic-based method.