



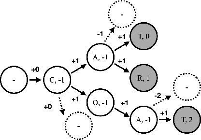
Recognition of uncommon words such as names and technical terminology is important to understanding conversations in context. However, the ability to recognise such words remains a challenge in modern automatic speech recognition (ASR) systems. In this paper, we propose a simple but powerful ASR decoding method that can better recognise these uncommon keywords, which in turn enables better readability of the results. The method boosts the probabilities of given keywords in a beam search based on acoustic model predictions. The method does not require any training in advance. We demonstrate the effectiveness of our method on the LibriSpeeech test sets and also internal data of real-world conversations. Our method significantly boosts keyword accuracy on the test sets, while maintaining the accuracy of the other words, and as well as providing significant qualitative improvements. This method is applicable to other tasks such as machine translation, or wherever unseen and difficult keywords need to be recognised in beam search.