



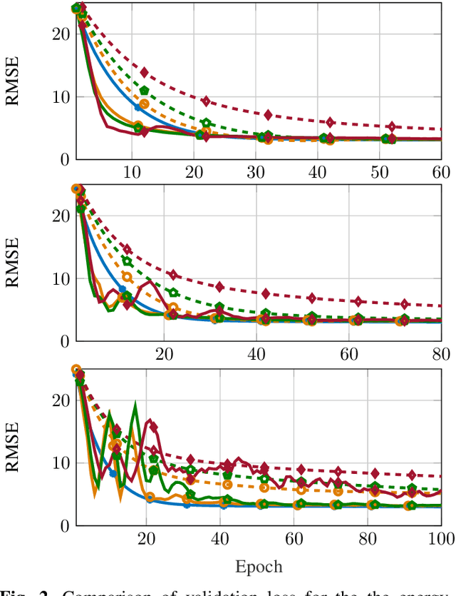
In this paper, an algorithm for approximate evaluation of back-propagation in DNN training is considered, which we term Approximate Outer Product Gradient Descent with Memory (Mem-AOP-GD). The Mem-AOP-GD algorithm implements an approximation of the stochastic gradient descent by considering only a subset of the outer products involved in the matrix multiplications that encompass backpropagation. In order to correct for the inherent bias in this approximation, the algorithm retains in memory an accumulation of the outer products that are not used in the approximation. We investigate the performance of the proposed algorithm in terms of DNN training loss under two design parameters: (i) the number of outer products used for the approximation, and (ii) the policy used to select such outer products. We experimentally show that significant improvements in computational complexity as well as accuracy can indeed be obtained through Mem-AOPGD.