



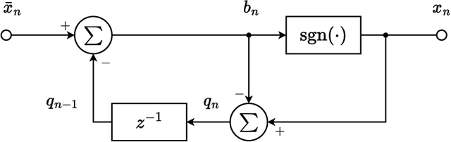
This paper considers the context of multiuser massive MIMO downlink precoding with low-resolution digital-to-analog converters (DACs) at the transmitter. This subject is motivated by the consideration that it is expensive to employ high-resolution DACs for practical massive MIMO implementations. The challenge with using low-resolution DACs is to overcome the detrimental quantization error effects. Recently, spatial Sigma-Delta modulation has arisen as a viable way to put quantization errors under control. This approach takes insight from temporal Sigma-Delta modulation in classical DAC studies. Assuming a 1D uniform linear transmit antenna array, the principle is to shape the quantization errors in space such that the shaped quantization errors are pushed away from the user-serving angle sector. In the previous studies, spatial Sigma-Delta modulation was performed by direct application of the basic first- and second-order modulators from the Sigma-Delta literature. In this paper, we develop a general Sigma-Delta modulator design framework for any given order, for any given number of quantization levels, and for any given angle sector. We formulate our design as a problem of maximizing the signal-to-quantization-and-noise ratios experienced by the users. The formulated problem is convex and can be efficiently solved by available solvers. Our proposed framework offers the alternative option of focused quantization error suppression in accordance with channel state information. Our framework can also be extended to 2D planar transmit antenna arrays. We perform numerical study under different operating conditions, and the numerical results suggest that, given a moderate number of quantization levels, say, 5 to 7 levels, our optimization-based Sigma-Delta modulation schemes can lead to bit error rate performance close to that of the unquantized counterpart.