



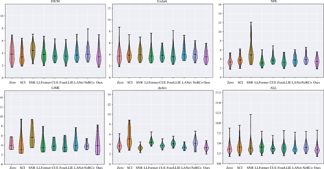
Low-light remote sensing images generally feature high resolution and high spatial complexity, with continuously distributed surface features in space. This continuity in scenes leads to extensive long-range correlations in spatial domains within remote sensing images. Convolutional Neural Networks, which rely on local correlations for long-distance modeling, struggle to establish long-range correlations in such images. On the other hand, transformer-based methods that focus on global information face high computational complexities when processing high-resolution remote sensing images. From another perspective, Fourier transform can compute global information without introducing a large number of parameters, enabling the network to more efficiently capture the overall image structure and establish long-range correlations. Therefore, we propose a Dual-Domain Feature Fusion Network (DFFN) for low-light remote sensing image enhancement. Specifically, this challenging task of low-light enhancement is divided into two more manageable sub-tasks: the first phase learns amplitude information to restore image brightness, and the second phase learns phase information to refine details. To facilitate information exchange between the two phases, we designed an information fusion affine block that combines data from different phases and scales. Additionally, we have constructed two dark light remote sensing datasets to address the current lack of datasets in dark light remote sensing image enhancement. Extensive evaluations show that our method outperforms existing state-of-the-art methods. The code is available at https://github.com/iijjlk/DFFN.