



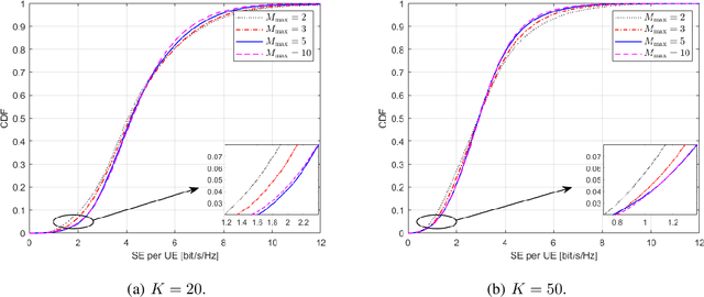
This paper considers a mmWave cell-free massive MIMO (multiple-input multiple-output) network composed of a large number of geographically distributed access points (APs) simultaneously serving multiple user equipments (UEs) via coherent joint transmission. We address UE mobility in the downlink (DL) with imperfect channel state information (CSI) and pilot training. Aiming at extending traditional handover concepts to the challenging AP-UE association strategies of cell-free networks, distributed algorithms for joint pilot assignment and cluster formation are proposed in a dynamic environment considering UE mobility. The algorithms provide a systematic procedure for initial access and update of the serving set of APs and assigned pilot sequence to each UE. The principal goal is to limit the necessary number of AP and pilot changes, while limiting computational complexity. The performance of the system is evaluated, with maximum ratio and regularized zero-forcing precoding, in terms of spectral efficiency (SE). The results show that our proposed distributed algorithms effectively identify the essential AP-UE association refinements. It also provides a significantly lower average number of pilot changes compared to an ultra-dense network (UDN). Moreover, we develop an improved pilot assignment procedure that facilitates massive access to the network in highly loaded scenarios.