



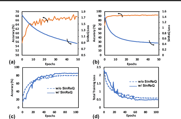
Quantization of neural networks offers significant promise in reducing their compute and storage cost. Albeit alluring, without domain experts to come up with special handcrafted optimization techniques or ad-hoc manipulation of the original network architecture, deep quantization (below 8 bits) results in unrecoverable accuracy gap between the quantized model and the full-precision counterpart. We propose a novel sinusoidal regularization, dubbed SinReQ, for low precision deep quantized training. The proposed method is aimed at automatically yielding semi-quantized weights at pre-defined target bitwidths during conventional training. The proposed regularization is realized by adding a periodic function (sinusoidal regularizer) to the original objective function. We exploit the inherent periodicity with a desired convexity profile in sinusoidal functions to automatically propel weights towards target quantization levels during conventional training. Our method combines generality by providing the flexibility for arbitrary-bit quantization, and customization by optimizing different layer-wise regularizers simultaneously. Preliminary results for experiments on CIFAR10, SVHN show that integrating SinReQ within the training algorithm achieves 2.82%, and 2.11% accuracy improvements to DoReFa (Zhou et al., 2016), and WRPN (Mishra et al., 2018) methods respectively.