

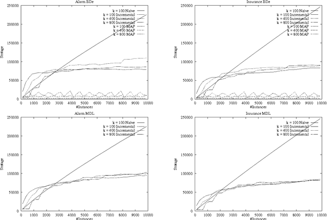
There is an obvious need for improving the performance and accuracy of a Bayesian network as new data is observed. Because of errors in model construction and changes in the dynamics of the domains, we cannot afford to ignore the information in new data. While sequential update of parameters for a fixed structure can be accomplished using standard techniques, sequential update of network structure is still an open problem. In this paper, we investigate sequential update of Bayesian networks were both parameters and structure are expected to change. We introduce a new approach that allows for the flexible manipulation of the tradeoff between the quality of the learned networks and the amount of information that is maintained about past observations. We formally describe our approach including the necessary modifications to the scoring functions for learning Bayesian networks, evaluate its effectiveness through an empirical study, and extend it to the case of missing data.