



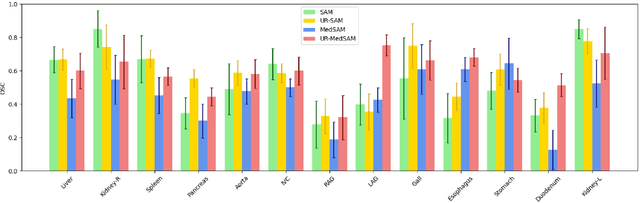
The introduction of the Segment Anything Model (SAM) has marked a significant advancement in prompt-driven image segmentation. However, SAM's application to medical image segmentation requires manual prompting of target structures to obtain acceptable performance, which is still labor-intensive. Despite attempts of auto-prompting to turn SAM into a fully automatic manner, it still exhibits subpar performance and lacks of reliability in the field of medical imaging. In this paper, we propose UR-SAM, an uncertainty rectified SAM framework to enhance the robustness and reliability for auto-prompting medical image segmentation. Our method incorporates a prompt augmentation module to estimate the distribution of predictions and generate uncertainty maps, and an uncertainty-based rectification module to further enhance the performance of SAM. Extensive experiments on two public 3D medical datasets covering the segmentation of 35 organs demonstrate that without supplementary training or fine-tuning, our method further improves the segmentation performance with up to 10.7 % and 13.8 % in dice similarity coefficient, demonstrating efficiency and broad capabilities for medical image segmentation without manual prompting.