

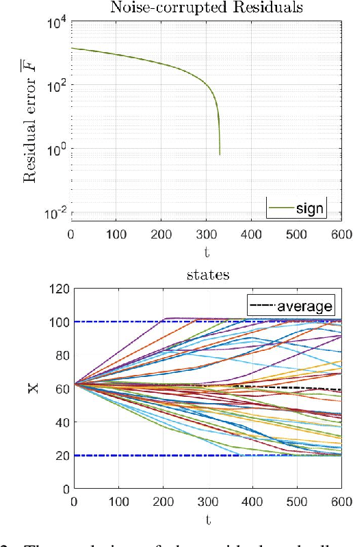
Efficient resource allocation and scheduling algorithms are essential for various distributed applications, ranging from wireless networks and cloud computing platforms to autonomous multi-agent systems and swarm robotic networks. However, real-world environments are often plagued by uncertainties and noise, leading to sub-optimal performance and increased vulnerability of traditional algorithms. This paper addresses the challenge of robust resource allocation and scheduling in the presence of noise and disturbances. The proposed study introduces a novel sign-based dynamics for developing robust-to-noise algorithms distributed over a multi-agent network that can adaptively handle external disturbances. Leveraging concepts from convex optimization theory, control theory, and network science the framework establishes a principled approach to design algorithms that can maintain key properties such as resource-demand balance and constraint feasibility. Meanwhile, notions of uniform-connectivity and versatile networking conditions are also addressed.