


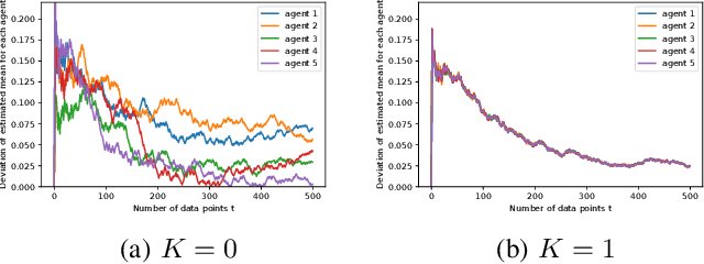
We study robust mean estimation in an online and distributed scenario in the presence of adversarial data attacks. At each time step, each agent in a network receives a potentially corrupted data point, where the data points were originally independent and identically distributed samples of a random variable. We propose online and distributed algorithms for all agents to asymptotically estimate the mean. We provide the error-bound and the convergence properties of the estimates to the true mean under our algorithms. Based on the network topology, we further evaluate each agent's trade-off in convergence rate between incorporating data from neighbors and learning with only local observations.