



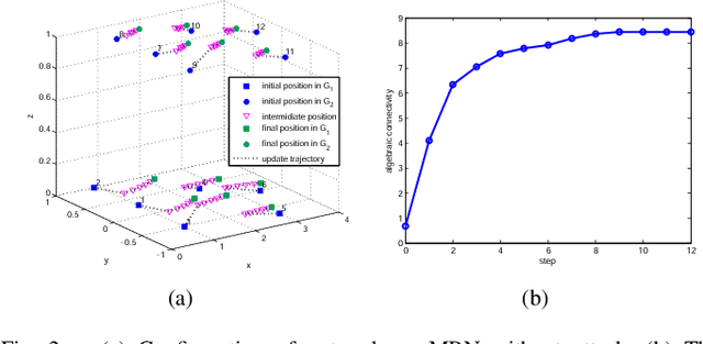
Network connectivity plays an important role in the information exchange between different agents in the multi-level networks. In this paper, we establish a game-theoretic framework to capture the uncoordinated nature of the decision-making at different layers of the multi-level networks. Specifically, we design a decentralized algorithm that aims to maximize the algebraic connectivity of the global network iteratively. In addition, we show that the designed algorithm converges to a Nash equilibrium asymptotically and yields an equilibrium network. To study the network resiliency, we introduce three adversarial attack models and characterize their worst-case impacts on the network performance. Case studies based on a two-layer mobile robotic network are used to corroborate the effectiveness and resiliency of the proposed algorithm and show the interdependency between different layers of the network during the recovery processes.