



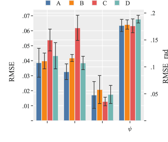
Cargo drones are designed to carry payloads with predefined shape, size, and/or mass. This lack of flexibility requires a fleet of diverse drones tailored to specific cargo dimensions. Here we propose a new reconfigurable drone based on a modular design that adapts to different cargo shapes, sizes, and mass. We also propose a method for the automatic generation of drone configurations and suitable parameters for the flight controller. The parcel becomes the drone's body to which several individual propulsion modules are attached. We demonstrate the use of the reconfigurable hardware and the accompanying software by transporting parcels of different mass and sizes requiring various numbers and propulsion modules' positioning. The experiments are conducted indoors (with a motion capture system) and outdoors (with an RTK-GNSS sensor). The proposed design represents a cheaper and more versatile alternative to the solutions involving several drones for parcel transportation.