



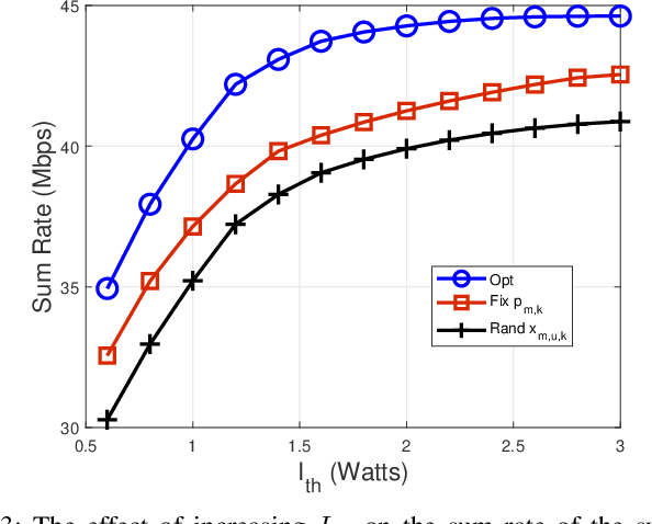
LEO satellite communication has drawn particular attention recently due to its high data rate services and low round-trip latency. It is low-cost to launch and can provide global coverage. However, the spectrum scarcity might be one of the critical challenges in the growth of LEO satellites, impacting severe restrictions on the development of ground-space integrated networks. To address this issue, we propose RSMA for CR enabled GEO-LEO coexisting satellite network. In particular, this work aims to maximize the system's sum rate by simultaneously optimizing the power allocation and subcarrier beam assignment of LEO satellite communication while restricting the interference temperature to GEO satellite users. The problem of sum rate maximization is formulated as non-convex and a Global optimal solution is challenging to obtain. Therefore, we first employ the successive convex approximation technique to reduce the complexity and make the problem more tractable. Then for the power allocation, we exploit KKT condition and adopt an efficient algorithm based on the greedy approach for subcarrier beam assignment. We also propose two suboptimal schemes with fixed power allocation and random subcarrier beam assignment as the benchmark. Results demonstrate the benefits of the proposed scheme compared to the benchmark schemes.