



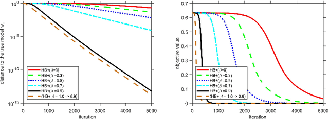
The Heavy Ball Method, proposed by Polyak over five decades ago, is a first-order method for optimizing continuous functions. While its stochastic counterpart has proven extremely popular in training deep networks, there are almost no known functions where deterministic Heavy Ball is provably faster than the simple and classical gradient descent algorithm in non-convex optimization. The success of Heavy Ball has thus far eluded theoretical understanding. Our goal is to address this gap, and in the present work we identify two non-convex problems where we provably show that the Heavy Ball momentum helps the iterate to enter a benign region that contains a global optimal point faster. We show that Heavy Ball exhibits simple dynamics that clearly reveal the benefit of using a larger value of momentum parameter for the problems. The first of these optimization problems is the phase retrieval problem, which has useful applications in physical science. The second of these optimization problems is the cubic-regularized minimization, a critical subroutine required by Nesterov-Polyak cubic-regularized method to find second-order stationary points in general smooth non-convex problems.