

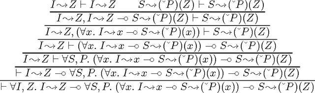
The relationship between Lexical-Functional Grammar (LFG) {\em functional structures} (f-structures) for sentences and their semantic interpretations can be expressed directly in a fragment of linear logic in a way that correctly explains the constrained interactions between quantifier scope ambiguity, bound anaphora and intensionality. This deductive approach to semantic interpretaion obviates the need for additional mechanisms, such as Cooper storage, to represent the possible scopes of a quantified NP, and explains the interactions between quantified NPs, anaphora and intensional verbs such as `seek'. A single specification in linear logic of the argument requirements of intensional verbs is sufficient to derive the correct reading predictions for intensional-verb clauses both with nonquantified and with quantified direct objects. In particular, both de dicto and de re readings are derived for quantified objects. The effects of type-raising or quantifying-in rules in other frameworks here just follow as linear-logic theorems. While our approach resembles current categorial approaches in important ways, it differs from them in allowing the greater type flexibility of categorial semantics while maintaining a precise connection to syntax. As a result, we are able to provide derivations for certain readings of sentences with intensional verbs and complex direct objects that are not derivable in current purely categorial accounts of the syntax-semantics interface.