



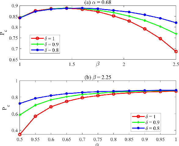
We consider the $M$-ary classification problem via crowdsourcing, where crowd workers respond to simple binary questions and the answers are aggregated via decision fusion. The workers have a reject option to skip answering a question when they do not have the expertise, or when the confidence of answering that question correctly is low. We further consider that there are spammers in the crowd who respond to the questions with random guesses. Under the payment mechanism that encourages the reject option, we study the behavior of honest workers and spammers, whose objectives are to maximize their monetary rewards. To accurately characterize human behavioral aspects, we employ prospect theory to model the rationality of the crowd workers, whose perception of costs and probabilities are distorted based on some value and weight functions, respectively. Moreover, we estimate the number of spammers and employ a weighted majority voting decision rule, where we assign an optimal weight for every worker to maximize the system performance. The probability of correct classification and asymptotic system performance are derived. We also provide simulation results to demonstrate the effectiveness of our approach.