



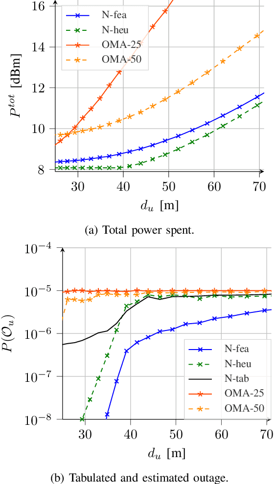
5G technology allows the presence of heterogeneous services in the same physical network. On the radio access network (RAN), the spectrum slicing of the shared radio resources is a critical task to guarantee the performance of each service. In this paper, we analyze a downlink communication in which a base station (BS) should serve two types of traffic, enhanced mobile broadband (eMBB) and ultra-reliable low-latency communication (URLLC), respectively. Due to the nature of low-latency traffic, the BS knows the channel state information (CSI) of the eMBB users only. In this setting, we study the power minimization problem employing orthogonal multiple access (OMA) and non-orthogonal multiple access (NOMA) schemes. We analyze the impact of resource sharing, showing that the knowledge of eMBB CSI can be used also in resource allocation for URLLC users. Based on this analysis, we propose two algorithms: a feasible and a block coordinated descent approach (BCD). We show that the BCD is optimal for the URLLC power allocation. The numerical results show that NOMA leads to a lower power consumption compared to OMA, except when the URLLC user is very close to the BS. For the last case, the optimal approach depends on the channel condition of the eMBB user. In any case, even when the OMA paradigm attains the best performance, the gap with NOMA is negligible, proving the NOMA capacity in exploiting the shared resources to reduce the power consumption in every condition.