



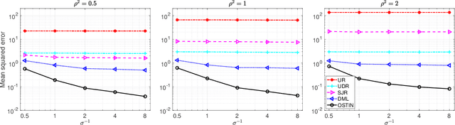
Multimodal imaging has transformed neuroscience research. While it presents unprecedented opportunities, it also imposes serious challenges. Particularly, it is difficult to combine the merits of interpretability attributed to a simple association model and flexibility achieved by a highly adaptive nonlinear model. In this article, we propose an orthogonal statistical inferential framework, built upon the Neyman orthogonality and a form of decomposition orthogonality, for multimodal data analysis. We target the setting that naturally arises in almost all multimodal studies, where there is a primary modality of interest, plus additional auxiliary modalities. We successfully establish the root-$N$-consistency and asymptotic normality of the estimated primary parameter, the semi-parametric estimation efficiency, and the asymptotic honesty of the confidence interval of the predicted primary modality effect. Our proposal enjoys, to a good extent, both model interpretability and model flexibility. It is also considerably different from the existing statistical methods for multimodal data integration, as well as the orthogonality-based methods for high-dimensional inferences. We demonstrate the efficacy of our method through both simulations and an application to a multimodal neuroimaging study of Alzheimer's disease.