



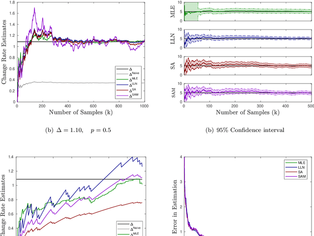
For providing quick and accurate search results, a search engine maintains a local snapshot of the entire web. And, to keep this local cache fresh, it employs a crawler for tracking changes across various web pages. It would have been ideal if the crawler managed to update the local snapshot as soon as a page changed on the web. However, finite bandwidth availability and server restrictions mean that there is a bound on how frequently the different pages can be crawled. This then brings forth the following optimisation problem: maximise the freshness of the local cache subject to the crawling frequency being within the prescribed bounds. Recently, tractable algorithms have been proposed to solve this optimisation problem under different cost criteria. However, these assume the knowledge of exact page change rates, which is unrealistic in practice. We address this issue here. Specifically, we provide three novel schemes for online estimation of page change rates. All these schemes only need partial information about the page change process, i.e., they only need to know if the page has changed or not since the last crawl instance. Our first scheme is based on the law of large numbers, the second on the theory of stochastic approximation, while the third is an extension of the second and involves an additional momentum term. For all of these schemes, we prove convergence and, also, provide their convergence rates. As far as we know, the results concerning the third estimator is quite novel. Specifically, this is the first convergence type result for a stochastic approximation algorithm with momentum. Finally, we provide some numerical experiments (on real as well as synthetic data) to compare the performance of our proposed estimators with the existing ones (e.g., MLE).