

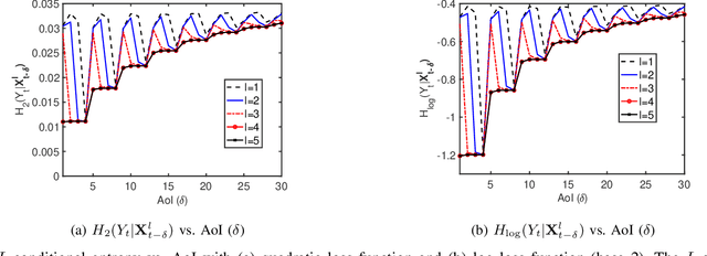
In this paper, we analyze the monotonicity of information aging in a remote estimation system, where historical observations of a Gaussian autoregressive AR(p) process are used to predict its future values. We consider two widely used loss functions in estimation: (i) logarithmic loss function for maximum likelihood estimation and (ii) quadratic loss function for MMSE estimation. The estimation error of the AR(p) process is written as a generalized conditional entropy which has closed-form expressions. By using a new information-theoretic tool called $\epsilon$-Markov chain, we can evaluate the divergence of the AR(p) process from being a Markov chain. When the divergence $\epsilon$ is large, the estimation error of the AR(p) process can be far from a non-decreasing function of the Age of Information (AoI). Conversely, for small divergence $\epsilon$, the inference error is close to a non-decreasing AoI function. Each observation is a short sequence taken from the AR(p) process. As the observation sequence length increases, the parameter $\epsilon$ progressively reduces to zero, and hence the estimation error becomes a non-decreasing AoI function. These results underscore a connection between the monotonicity of information aging and the divergence of from being a Markov chain.